Osteo-Morphometry in Ouled-Djellal White Arab Sheep: Age-Related Correlations between Mandible, Skull and Body Measurements

Document Type : Research Articles

Authors

1 Gestion Santé et Productions Animales Research Laboratory, Institut des Sciences Vétérinaires El-Khroub, Université Constantine 1 Frères Mentouri, Constantine 25000, Algeria.

2 Department of Biological Sciences, Laboratory of Ecosystems Protection in Arid and Semi-Arid Zones, Faculty of Natural and Life Sciences, University of Kasdi Merbah, Ghardaïa road 30000 Ouargla, Algeria & Ecole normale supérieure de Ouargla, Algeria.

3 Institute of Evolutionary Science-Montpellier (ISEM), University of Montpellier, CNRS, EPHE, IRD, Montpellier, France.

4 Comparative Anatomy Unit, National Veterinary School of Nantes, Vet Agro Bio Nantes-Oniris, route de Gâchet, CS 40706, 44307 Nantes cedex 03, France.

Abstract

The Ouled Djellal White Arab sheep is the predominant breed in the Algerian steppes and high plains, known for its adaptability and meat production. This study examines correlations between mandibular, body, and craniometric measurements in two age groups to establish a reference dataset for archaeozoological applications. Thirty female Ouled Djellal sheep, evenly divided into young adults (2–4 years) and adults (>4 years), were examined. Eight body measurements were recorded pre-slaughter, followed by eight mandibular and sixteen craniometric measurements after bone preparation, with four indices subsequently calculated. Significant correlations were observed between mandibular and body measurements, and between mandibular and craniometric parameters. Correlations were more numerous and stronger in adults (ranging from 0.47 to 0.70) than in young adults (from 0.41 to 0.67). While differences in covariation strength were observed between age groups, some correlations, such as those between thoracic perimeter (TP) and mental foramen length (ML6), and between head length (hL) and aboral height of the ascending branch (MH1) persisted across age groups. Dentition-related measurements correlated more frequently in adults, reflecting skeletal  maturity, whereas variability in young adults indicated ongoing growth. These findings highlight the importance of age considerations in morphometric analysis and provide reference data for estimating body size and cranial dimensions from mandible measurements, contributing to archaeozoological studies of North African ancient specimens.

Keywords

Main Subjects


Abbreviations

PLA2: Phospholipase A2

IV: Intravenously

IP: Intraperitoneal

μl: Microliter

MAO: Monoamine oxidase

WHO: World Health Organization

LD50: Lethal dose 50%

LD100: Lethal dose 100%

FUMH: Ferdowsi University of Mashhad Herbarium

DPPH: 2, 2-diphenyl-1-picrylhydrazyl

Introduction

Algerian White Arab sheep, or Ouled Djellal, is the predominant sheep breed in the Algerian steppes and high plains, representing approximately 63% of the national flock, estimated at around 12 million head. Native to the Ouled Djellal region, this breed is characterized by its slim build, refined head, and high-quality white wool. It is well adapted to arid environments and suited to a nomadic lifestyle [1 , 2].

Archaeological research in Algeria, despite being in its early stages, has led to the discovery of several sites, revealing animal bone remains from periods spanning the Paleolithic to the Neolithic. Notable examples include Oued Boucherit in Sétif (dated 2.4–1.7 million years ago) [3] , Tighennif in Mascara (around 700,000 years ago) [4] , and Gueldaman Cave GLD1 near Akbou, Béjaïa (dated to 5052-4885 B.C.) [5] . These sites have provided a variety of animal remains, including sheep mandibles and skull fragments. Such archaeozoological findings enable researchers to explore the attributes of ancient fauna. However one major challenge persists: the absence of robust reference database from living animals, particularly for body measurements. Estimation body measurements from archaeological bones relies on comparative datasets that include both body measurements and osteometric data from known specimens. Such reference datasets are scarce and currently absent for North African sheep populations.

This research is part of a series of osteobiometric studies on native Algerian ruminants, including sheep[6 , 7] , goats[8 , 9] , and camels [10 , 11]. Building upon this work, the current study aims to examine correlations between the body measurements taken from live Ouled Djellal sheep and osteometric parameters of their skulls and mandibles. These correlations were compared between young adults and adults. The ultimate aim is to establish a reliable reference framework of one of the main breeds of Algeria, thereby enabling archaeozoologists to estimate body size and cranial dimensions from mandibular remains recovered in archaeological sites.

Results

Univariate analysis

The mandibular parameters MH1, MH7, MH8, and RM1 showed statistically significant differences between the age groups (p < 0.05; Table 1 and Figure 1). Average values for MH1 and MH8 were higher in adults, whereas MH7 and RM1 were higher in young adults. Notably, the average RM1 index was lower in adults than in young adults.

Figure 1.Boxplots illustrating the variation in the mandibular variables MH1 (left), MH7 (middle), and MH8 (right) between Young Adults (YA) and Adults (A). Descriptions of these variables can be found in Table 6.

Groups Statistical parameters ML6 ML8 ML9 MB1 MH1 MH7 MH8 MH9 MW RM1 RM2
Young adults N=15 m 165,05 58,50 24,22 61,71 82,97 41,33 24,26 19,71 83,20 25,10 74,45
Min 155,36 52,68 19,43 52,44 76,88 37,36 21,41 16,57 70,00 22,19 59,66
Max 180,15 62,66 28,24 68,18 88,35 47,37 26,06 22,15 94,00 30,18 82,58
σ 6,99 3,05 1,95 5,00 3,47 2,92 1,45 1,81 6,56 2,26 6,10
CV% 4,23 5,21 8,04 8,10 4,18 7,07 5,99 9,20 7,88 9,00 8,19
Adults N=15 m 166,74 57,09 24,12 62,16 88,54 38,88 25,55 20,65 85,80 23,35 70,33
Min 152,66 51,27 21,66 52,82 83,34 35,79 23,70 18,04 67,00 21,31 62,69
Max 178,39 63,10 26,52 70,35 96,88 42,50 27,63 24,19 122,00 26,61 83,59
σ 6,62 3,28 1,40 5,02 4,26 1,93 1,19 2,01 14,17 1,48 6,46
CV% 3,97 5,74 5,81 8,07 4,81 4,95 4,64 9,72 16,51 6,35 9,18
total Population N=30 m 165,89 57,79 24,17 61,94 85,76 40,10 24,90 20,18 84,50 24,22 72,39
Min 152,66 51,27 19,43 52,44 76,88 47,37 21,41 16,57 67,00 21,31 59,66
Max 180,15 63,10 28,24 70,35 96,88 2,73 27,63 24,19 122,00 30,18 83,59
σ 6,74 3,19 1,67 4,93 4,75 35,79 1,46 1,94 10,93 2,08 6,52
CV% 4,06 5,52 6,90 7,95 5,54 6,81 5,86 9,61 12,93 8,58 9,00
p YA-A 0,389 0,25 0,885 0,87 0,001 0,033 0,033 0,325 0 ,95 0,019 0,067
m: mean, Min: minimum, Max: maximum, σ: standard deviation, CV%: coefficient of variation in %.
p YA-A corresponds to the p-value for the Wilcoxon-Mann-Whitney test comparing young adults and adults.
Table 1.Descriptive statistics of mandibular parameters.

Bivariate analysis

Correlations by Age

Significant correlations between mandibular and body measurements, as well as between mandibular and craniometric parameters, were more numerous and stronger in adults than in young adults (Tables 2 and 3). When significant, correlation coefficient for adults ranged from 0.47 to 0.70, while for young adults they ranged from 0.41 to 0.67.

VAR 1 VAR 2 Total population Adults Young adults p-value
LW MH1 0.28 0.66 0.20 0.208
LW MH8 0.29 0.17 0.65 0.335
SIL MW -0.07 0.20 -0.55 0.026
WH MH8 0.13 0.73 0.16 0.137
TP ML6 0.51 0.46 0.60 0.973
TP MH1 0.38 0.66 0.30 0.298
TP MH8 0.33 0.18 0.62 0.44
CP MH1 0.48 0.64 0.35 0.292
CP MH9 0.42 0.52 0.25 0.335
CP MW 0.41 0.63 -0.26 0.042
hL ML6 0.48 0.45 0.58 0.575
hL ML9 0.34 0.61 0.09 0.02
hL MH1 0.54 0.65 0.46 0.226
hW MH9 0.20 0.57 -0.33 0.016
hW MH1 0.48 0.50 0.52 0.912
hW MW 0.50 0.63 0.52 0.679
eL MH1 0.22 0.52 0.19 0.43
eW MH1 0.29 0.62 0.29 0.516
eW MH8 0.31 0.51 0.33 0.48
eW MW 0.16 0.47 -0.40 0.033
p-value represent the difference between the young adults and the adults using two-way ANCOVA test.
Table 2.Correlations between mandibular and body parameters by age.
VAR 1 VAR 2 Total population Adults Young adults p-value
CL1 ML6 0.76 0.80 0.72 0.352
CL1 MH1 0.63 0.77 0.56 0.538
CL2 ML6 0.81 0.82 0.80 0.481
CL2 MH1 0.63 0.76 0.57 0.621
CL7 ML6 0.75 0.76 0.76 0.24
CL7 MH1 0.58 0.50 0.60 0.952
CL10 ML6 0.55 0.51 0.56 0.917
CL10 ML9 0.32 0.50 0.21 0.231
CL10 MH1 0.42 0.28 0.56 0.378
CL20 MB1 0.45 0.50 0.39 0.616
CL20 MH8 -0.001 -0.38 0.48 0.032
CL31 ML6 0.46 0.60 0.52 0.779
CL31 ML8 0.65 0.57 0.68 0.577
CL31 MH7 0.47 0.53 0.27 0.273
CL31 MH9 0.04 0.54 0.28 0.033
CL31 MW 0.34 0.65 0.04 0.364
CL34 ML6 0.44 0.61 0.31 0.305
CL34 MB1 0.25 0.53 0.04 0.115
CB2 MH1 0.29 0.19 0.69 0.15
CB2 MH7 0.26 0.54 0.10 0.096
CB2 MH9 0.29 0.51 0.04 0.192
CB3 MH1 0.56 0.34 0.62 0.128
CB8 MH1 0.34 0.51 0.22 0.769
CB8 MB1 -0.23 0.21 0.57 0.024
CB8 MW -0.04 0.19 0.46 0.044
CB8 RM2 -0.41 0.07 0.67 0.037
CB10 MH1 0.65 0.67 0.82 0.203
CB10 MH7 0.06 0.56 0.14 0.045
CB10 MH9 0.38 0.65 0.07 0.148
CB10 MW 0.33 0.61 0.20 0.087
CB14 MH1 0.68 0.56 0.69 0.453
CB14 W 0.39 0.70 0.28 0.026
CB18 MH1 0.55 0.35 0.52 0.307
CB18 MW 0.09 0.32 0.41 0.049
CB19 MH1 0.60 0.62 0.60 0.947
CB19 MW 0.37 0.50 0.04 0.455
CH5 MH1 0.04 0.02 0.67 0.127
CH6 ML6 0.76 0.71 0.83 0.944
CH6 MB1 0.59 0.67 0.49 0.426
CH6 MH1 0.39 0.36 0.60 0.43
SW ML8 0.14 0.45 0.53 0.02
SW MH1 0.49 0.64 0.28 0.074
SW MH7 0.19 0.63 0.16 0.003
SW MW 0.85 0.92 0.50 0.062
p-value represent the difference between the young adults and the adults using two-way ANCOVA test.
Table 3.Correlations between mandibular and craniometric parameters by age.

To evaluate whether age groups differed in their covariation patterns, a series of two-way ANCOVAs was conducted (Table 2). Some of these relationships remained stable across both age groups, such as those between thoracic perimeter (TP) and ML6, as well as between head length (hL) and MH1. However, 5 out of 20 mandibular body parameter pairs and and 10 out of 44 mandibular craniometric parameters pairs (Table 2) showed non homogeneous relationship between young adults and adults. In these case, correlation were analyzed separately. Examples include: Adults: correlations between head length (hL) and ML9, head width (hW) and MH9, as well as between MH8 and CL20, and MH9 and CL31. Young adults: correlations between scapulo-ischial length (SIL) and mandible weight (MW), as well as between CB8 and MB1. In general, measurements related to dentition (ML9, MH9, MH8) were more commonly observed in adults.

The four strongest and most significant correlations are illustrated in Figure 2, showing examples from both mandibular and body parameter pairs (Figure 2A,2B), as well as mandibular and craniometric parameters (Figure 2C,2D) for both age groups.

Figure 2. Example of a scatter plots with linear regression between mandibular and body parameters: A. hL=f(ML9), B. hW=f(MH9) and between mandibular and craniometric parameters: C. SW = f(MH7), D. CB8 = f(RM2) for adults and young adults. Only the strongest correlations are shown.

Correlations in the total population

Most correlations between mandiblar and body measurements were consistent between the two age groups (Table 2 and Table 3). Out of 99 correlations, only 14 differed significantly between age groups (Table 4). These correlations were considered low, with coefficients ranging from 0.10 to 0.39 or moderate from 0.40 to 0.59.

Body measurements Mandibular measurements Coefficient (r) p-value
Head length MH1 0.54 0.0022
Thoracic Perimeter ML6 0.51 0.0042
Head width MW 0.50 0.0044
Cannon perimeter MH1 0.48 0.0068
Head length ML6 0.48 0.0073
Head width MH1 0.48 0.0066
Cannon perimeter MH9 0.42 0.021
Scapulo-ischial length RM1 0.41 0.022
Cannon perimeter MW 0.41 0.024
Cannon perimeter ML6 0.39 0.032
Live weight ML9 0.38 0.038
Thoracic Perimeter MH1 0.38 0.040
Scapulo-ischial length MH7 0.38 0.038
Live weight MH7 0.37 0.043
p-value represent the difference between the young adults and the adults using two-way ANCOVA test.
Table 4.Correlations between mandibular and body measurement for all specimens. Only the significant correlations (p < 0.05) are shown.

Analysis of mandible and skull measurements revealed several significant correlations between mandibular and craniometric parameters (Table 5). The strongest correlation was between mandible weight (MW) and skull weight (SW), with a correlation coefficient of 0.85.

Mandibular measurements Craniometric measurements Coefficient (r) p-value
MW SW 0.85 2.17e-09
ML6 CL2 0.81 5.90e-08
ML6 CH6 0.76 9.46e-07
ML6 CL1 0.76 1.14e-06
ML6 CL7 0.75 2.20e-06
MH1 CB14 0.68 3.30e-05
ML8 CL31 0.65 0.00011
MH1 CB10 0.65 9.74e-05
MH1 CL1 0.63 0.00016
MH1 CL2 0.63 0.00021
MH1 CB19 0.60 0.00041
MB1 CH6 0.59 0.00065
MH1 CL7 0.58 0.00086
MH1 CB3 0.56 0.0013
MH1 CB18 0.55 0.0015
ML6 CL10 0.55 0.00181
MH1 SW 0.49 0.00578
MH7 CL31 0.48 0.00805
ML6 CL20 0.47 0.00802
MB1 CL7 0.46 0.00985
ML6 CL31 0.46 0.0100
MB1 CL20 0.45 0.0137
ML6 CB10 0.44 0.0139
MH9 CB10 0.38 0.0384
MW CB19 0.37 0.0451
MB1 CL2 0.37 0.0445
Table 5.Correlations between mandibular and craniometric measurement for all specimens. Only the significant correlations (p < 0.05) are shown.

The mental foramen length (ML6) and the aboral height of the ascending branch (MH1) were most frequently correlated with craniometric parameters. ML6 showed the strongest correlations with both skull lengths and height CH6, while MH1 was primarily correlated with cranial widths, but also with certain lengths and height CH6.

The four strongest and most significant correlations are illustrated in figure 3, showing pairs of mandibular-body (Figure 3A,3B), and mandibular-craniometric relationships (Figure 3C,3D).

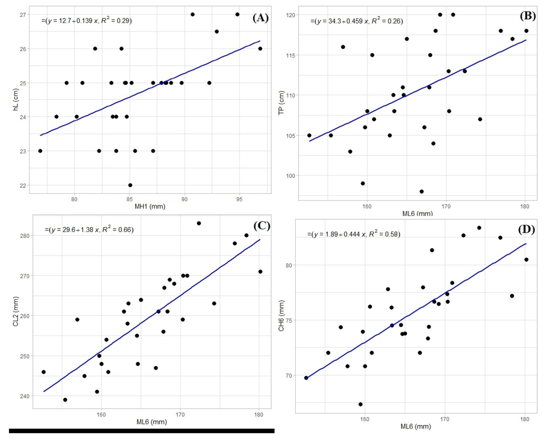
Figure 3.Example of scatter plots with linear regression between mandibular and body parameters: A. hL=f(MH1), B. TP=f(ML6) and between mandibular and craniometric parameters: C. CL2 = f(ML6), D. CH6 = f(ML6) for all specimens. Only the strongest correlations are shown.

Discussion

This study examined the correlations between mandibular and craniometric osteometric measurement, and body measurements on the living animals in Ouled Djellal sheep, focusing on age-related effects, it revealed that the average mandibular height behind M3 (MH7) was greater in young adults. This can be attributed to the association of MH7 with the eruption of third molar (M3): after M3 eruption is complete in adults, the mandibular body tends to lower (Figure 4). Similar findings were noted by Ridouh [12] in the native Algerian goat and by Dib, Babelhadj [11] in the Tergui dromedary. In contrast, the higher value of MH8 in adults may related to the eruption of premolars prier to adulthood.

Figure 4.Mandibular corpus height behind the third molar (MH7) in young adults (top) and adults (bottom)

When comparing the Ouled Djellal sheep with other breeds, the mental foramen length (ML6) in our sample (165.89 mm) is greater than that in other sheep breeds, including Yankassa (165 mm) [13] , Konya Merino (163.44 mm) [14] , Barbados Black Belly (160.9 mm), Awassi Females (155.22 mm) [15] , French breeds (152 mm) [16] , Mehraban (137.4 mm) [17] , Morkaraman (122.29 mm), Tuj (118.85 mm) [18] , and Iranian Native sheep (112.9 mm) [19] . This indicates that Ouled Djellal females have relatively longer mandibles compared to most other breeds.

Regarding mandibular angle width (MB1), the Ouled Djellal (61.94 mm) exhibits a mean value close to that of Sharri females (61.64 mm) [20] and Awassi females (60.22 mm) [15] . yet exceeded values reported for Norduz females (45.14 mm) [21] , Konya Merino (56.88 mm) [14] , Tuj (43.61 mm), Morkaraman (43.2 mm) [18] , and French breeds (58 mm) [16] . This suggests broader mandibles in Ouled Djellal females.

The height of the ascending branch (MH1) is particularly higher in Ouled Djellal females (85.76 mm), than French breeds (80 mm) [16] , Mehraban (77.5 mm) [22] , Konya Merino (76.11 mm) [14] , Barbados Black Belly (70.8 mm) [23] , Zell sheep females (69.81 mm) [24] , Iranian native sheep (62.6 mm) [19] , Morkaraman (62.08 mm) [18] , Norduz females (61.98 mm) [21] , and Tuj (60.86 mm) [18] . This further supports the Ouled Djellal females are distinguished by the greater height of their mandibular branches.

Comparing our findings with to Ami's [6] results on Ouled Djellal from the same region, the mean values of ML6 (153.20 mm), MB1 (59.6 mm) and MH1 (79.86 mm) were lower in Ami's study. This difference may be due to the presence of juvenile individuals in Ami's dataset.

Since these three parameters (ML6, MB1, MH1) represent the mandibular dimensions along its main axes, our results suggest that the mandibles in our study population are overall relatively larger than other sheep breeds.

The lower RM1 values in adults, suggest thinner mandibular bodies compared to young adults. Additionally, both RM1 (24.22%) and RM2 (72.39%) in our study were lower than those reported by Ami [6] for Ouled Djellal (26.06% and 74.63%), and by Guintard and Fouché [16] for French breeds (25% and 73%). These findings indicate that the mandibles in our study possess more slender bodies.

Moreover, the correlation patterns were stronger and more consistent in adults than young adults. In young adults, varying growth rates between zootechnical and bone parameters suggest that osteological development is still ongoing. In contrast, adults exhibit a stable and fully mature form across both zootechnical and osteological measures, which likely explains the stronger consistency in correlations at this stage.

Furthermore, the relatively weak correlations in the total population can be attributed to several factors, such as age, dentition stage, nutrition, and environmental conditions, all of which influence the growth and development of sheep in uneven ways, thereby leading to differences in mandible morphology. Despite these variations, certain mandibular measurements (especially MH1 and ML6) show significant correlations with body parameters. For example, the strongest correlations were observed between the head length and the height of the ascending branch (MH1), and between the thoracic perimeter and the mental foramen length (ML6) (Figure 3).

Regarding the correlations between the mandibular and craniometric parameters, the results indicate that ML6 reflects the linear skull dimensions, while mandibular height (MH1) is more closely associated with cranial widths. These results suggest that the mandibular axes (ML6, MH1, MB1) showing significant correlations with the three main skull dimensions (length, width, and height). This reflects harmonious growth between mandibular and cranial structures, confirming that the mandible and skull may develop in an interdependent manner.

The results indicate that the mandibles of Ouled Djellal females are both larger and more slender than those of other breeds, with adults exhibiting even greater size and slenderness compared to young adults. Across the population, significant correlations were observed between body and mandibular measurements. Additionally, the three axes of the mandible are significantly correlated with skull measurements, reflecting the harmonious growth between the mandible and skull. Most correlations between mandibular, craniometric, and body parameters remain consistent across age groups, while others vary. Significant correlations are more frequent in adults, suggesting that they have reached a stable, mature form in both zootechnical and osteological aspects, whereas young adults exhibit differential growth patterns. The identified correlations highlight the importance of taking into account the age of the specimens when mandibular measurements are used for estimating body and craniometric dimensions. This study paves the way for age-specific predictive models in archaeozoology.

Materials and Methods

This study was conducted on 30 female Ouled Djellal sheep obtained from the slaughterhouses in Aïn Fakroun and Télaghma, northeastern Algeria, between March 2022 and May 2023. All animals appeared healthy and were over two years old. They were divided into two age groups: young adults (YA) aged 2 to 4 years, and adults (A) over 4 years.

Body Measurements

Before slaughter, eight body measurements (Figure 5) were recorded using a tape measure (cm): withers height (WH), scapulo-ischial length (SIL), thoracic perimeter (TP), cannon perimeter (CP), head length (hL), head width (hW), ear length (eL), and ear width (eW). Live weight (LW) was estimated using body weight prediction formulas: LW= 0.635 TP - 23.026 and LW = 0.7536 SIL - 19.2234 [13].

Figure 5. Body measurements on Ouled Djellal sheep

Specimen Preparation

After slaughter, each head was collected, labeled with identification number, and linked to its corresponding body measurement data. Soft tissues were removed, and the bones were cleaned by boiling for several hours, rinsing in running water, and air-drying. Each skull and mandible (right side) were labeled accordingly. Mandible weight (MW) and skull weight (SW) were recorded in grams using a precision scale.

Osteometric Measurements

Eight mandibular and sixteen cranial measurements were taken in millimeters using a caliper (accuracy ± 0.02 mm), a ruler for linear dimensions (e.g., CL1, CL2), and a thickness compass for specific parameters (e.g., CH6). Measurement protocols followed Ridouh's [14] methodology (Figure 6 and 7, Table 6). Additionally, four indices (RM1, RM2, RC5, and RC7), were selected based on criteria proposed by Guintard [15] , then were calculated to provide further morphometric insights.

Figure 6. Measurements of the right mandible in lateral view.

Figure 7. Skull measurements: (A) lateral view, (B), ventral view (C) dorsal view, (D) caudal view.

Mandibular Measurements Denominations Craniometric Measurements Denominations
ML6 Mental foramen length CL1 Total length
ML8 Molar tooth row length CL2 Condylobasal length
ML9 Premolar tooth row length CL7 Oblique length of the muzzle
MB1 Width at the mandibular angle CL10 Median frontal length
MH1 Aboral height of the ascending branch CL20 Orbit base to jugular process length
MH7 Mandibular height behind M3 CL31 Naso-dental oblique length
MH8 Mandibular height in front of M1 CL34 Temporal fossaLength
MH9 Mandibular height in front of P1 CB2 Greatest breadth of the occipital condyles
RM1 MH7 / ML6 × 100 CB3 Greatest breadth at the bases of the paraoccipital processes
RM2 MB1 / MH1× 100 CB8 Least frontal breadth
CB10 Least breadth between the orbits
CB14 Greatest palatal breadth
CB18 Greatest breadth across the premaxillae
CB19 Zygomatic breadth
CH5 Least height of the occipital
CH6 Splanchnocranial height
RC5 CB8 / CL1 × 100
RC7 CH5 / CL1 × 100
M3: Third molar, M1: First molar, P1: First premolar.
Table 6.Denomination of mandibular measurements (variable names starting with M) and craniometric measurements (variable name starting with C), and indices (variable name starting with R).

Statistical Analysis

All statistical analyses were conducted using R (version 4.3.1) with the RStudio interface. Descriptive statistics, including mean (m), minimum (min), and maximum (max) values, were calculated for each age group and the total population (TP). Variability was assessed using the standard deviation (σ) and coefficient of variation (CV% = (σ/m) × 100).

The Wilcoxon-Mann-Whitney test was applied to compare univariate measurements between age groups, with significance set at p < 0.05. Pearson correlation coefficients (r) were calculated for each variable pair, interpreted as: 0–0.10 for no correlation, 0.10–0.39 for low correlation, 0.40–0.59 for moderate correlation, 0.60–0.79 for strong correlation, and 0.80–1 for very strong correlation. Additionally, p-values were also used to assess the significance of the correlations. Two-way ANCOVAs was used to evaluate the homogeneity of correlations between young adults and adults.

Authors' Contributions

MB contributed to the collection of the specimens, methodology, statistical analysis, and writing the first draft. RR contributed to the interpretation of the results, the writing of the discussion and revised the first draft. AED worked on the methodology. FTZ revised the final draft. BB revised the final draft. AE was involved in statistical analysis, writing, review, and editing. CG provided the original idea and revised the final draft. All authors provided critical feedback and helped shape the research, analysis and manuscript.

Acknowledgements

We would like to thank Dr. Abderrahmane Boukerrou for his assistance in sample collection, Dr. Hafida Koutchoukali for her support in specimen preparation, and Pr. El Hacene Brerhi for his invaluable guidance. We also thank the staff of the Ain Fakroun and Teleghma slaughterhouses for their cooperation.

AE work is supported by the European Research Council (ERC) under the European Union's Horizon 2020 research and innovation program (Grant Agreement No. 852573).

Conflict of interest

The authors declare that there is no conflict of interest.

References

  1. Adaouri M. Evaluation des paramétres zootechniques de la nouvelle race ovine en cours de constitution issue d&#039;un croisement génétique alternatif d&#039;amélioration antre Ouled Djellal et D&#039;man [Thèse de Doctorat en Sciences Agronomiques]: Ecole Nationale Supérieure Agronomique, Algérie; 2019.
  2. Feliachi K, Kerboua M, Abdelfettah M, Ouakli K, Selheb F, Boudjakji A. Rapport national sur les ressources génétiques animales: Algérie. MADR; 2003.
  3. Duval M, Sahnouni M, Parés JM, van Der Made J, Abdessadok S, Harichane Z, et al. The Plio-Pleistocene sequence of Oued Boucherit (Algeria): A unique chronologically-constrained archaeological and palaeontological record in North Africa. Quaternary Science Reviews. 2021;271:107-16.DOI
  4. Geraads D. Pleistocene Carnivora (Mammalia) from Tighennif (Ternifine), Algeria. Geobios. 2016;49(6):445-58.DOI
  5. Merzoug S, Kherbouche F, Sehil N, Chelli R, Hachi S. Faunal analysis of the Neolithic units from the Gueldaman Cave GLD1 (Akbou, Algeria) and the shift in sheep/goat husbandry. Quaternary International. 2016;410:43-9.DOI
  6. Ami K. Approche ostéo-morphométrique des têtes de la population ovine autochtone [Thèse de Magister en Médecine Vétérinaire]. Algérie Université des Frères Mentouri Constantine 1; 2014.
  7. Guintard C, Tekkouk-Zemmouchi F. Osteo-biometric approach of the Ouled Djellal breed (Ovis aries, L.-Algeria). Revue de Médecine Vétérinaire. 2010;161(11):521-31.
  8. Guintard C, Ridouh R, Thorin C, Tekkouk-Zemmouchi F. Etude ostéométrique des métapodes de chèvres (Capra hircus, L., 1758) d&#039;Algérie: cas de la race autochtone Arabia. Revue de Médecine Vétérinaire. 2018;169:221-32.
  9. Ridouh R, Tekkouk-Zemmouchi F, Thorin C, Guintard C. Prédiction du sexe à partir d&#039;un échantillon de métacarpes de chèvres (Capra hircus L., 1758) de race Arabia (Algérie): réalisation d&#039;un référentiel pour l&#039;archéozoologie. Revue de Paléobiologie, Genève 2019;38(1):255-65.
  10. Babelhadj B, Adamou A, Thorin C, Tekkouk-Zemmouchi F, Benaissa A, Guintard C. Étude ostéo-biométrique comparée des «races» camelines Algériennes Sahraoui et Targui (Camelus dromedarius L., 1758). Revue de Médecine Vétérinaire. 2016;167:77-92.
  11. Dib M, Babelhadj B, Benaissa A, Oudini E, Brahimi Z, Tekkouk Zemmouchi F, et al. Osteo-morphometric Approach to the Heads of Dromedaries (Camelus dromedarius, L, 1758): Case of the Algerian Targui Population. Agricultural Science Digest - A Research Journal. 2024;44(2):372-81.DOI
  12. Ridouh R. Crâniométrie et ostéométrie des métapodes de la chèvre autochtone [Thèse de Doctorat en Sciences Vétérinaire]: Université des Frères Mentouri Constantine 1, Algérie; 2021.
  13. Shehu SA, Bello A, Sonfada ML, Suleiman HM, Umar AA, Danmaigoro A, et al. Morphometrical study of the mandiblar bone of female Yankasa sheep (Ovis aries Linne). Journal of Anatomy and Physiological Studies. 2018;2(1):001-6.
  14. Özüdoğru Z, Ilgün R, Teke BE. A Morphometric Study on Mandibula of Konya Merino. Uluslararası Tarım ve Yaban Hayatı Bilimleri Dergisi. 2019;5:392-5.DOI
  15. Yılmaz B. İvesi Koyunlarında (Ovis aries) Mandibula&#039;nın Morfometrik İncelemesi. Harran Üniversitesi Veteriner Fakültesi Dergisi. 2020;9(2):189-93.DOI
  16. Guintard C, Fouché S. Osteometric study of osseous heads of sheep (Ovis aries, L.). Revue de Médecine Vétérinaire. 2008;159(12):603-17.
  17. Karimi I, Hadipour M, Nikbakht P, Motamedi S. The lower jawbone of Mehreban sheep: a descriptive morphometric approach. World&#039;s Veterinary Journal. 2011;2:57-60.
  18. Demiraslan Y, Gülbaz F, Özcan S, Dayan MO, Akbulut Y. Morphometric analysis of the mandible of Tuj and Morkaraman sheep. Journal of Veterinary Anatomy. 2014;7(2):75-86.DOI
  19. Monfared AL. Clinical Anatomy of the Skull of Iranian Native Sheep. Global Veterinaria. 2013;10(3):271-5.DOI
  20. Jashari T, Duro S, Gündemir O, Szara T, Ilieski V, Mamuti D, et al. Morphology, morphometry and some aspects of clinical anatomy in the skull and mandible of Sharri sheep. Biologia. 2021;77:423 - 33.DOI
  21. Dalga S, Aydın U, Bayram R. Radiological, Morphological and Morphometric Investigation of Mandible in Norduz Sheep. Dicle Üniversitesi Veteriner Fakültesi Dergisi. 2023;16(2):85-90.DOI
  22. Karimi I, Onar V, Pazvant G, Hadipour MM, Mazaheri Y. The Cranial Morphometric and Morphologic Characteristics of Mehraban Sheep in Western Iran. Global Veterinaria 2011;6(2):111-7.
  23. Mohamed R, Driscoll M, Mootoo N. Clinical anatomy of the skull of the Barbados Black Belly sheep in Trinidad. Int J Curr Res Med Sci. 2016;2(8):8-19.DOI
  24. Marzban Abbasabadi B, Hajian O, Rahmati S. Investigating the morphometric characteristics of male and female Zell sheep skulls for sexual dimorphism. Anatomical Sciences Journal. 2020;17(1):13-20.
CAPTCHA Image